• LOGIN
    Login with username and password
Repository logo

BORIS Portal

Bern Open Repository and Information System

  • Publications
  • Projects
  • Funding
  • Research Data
  • Organizations
  • Researchers
  • LOGIN
    Login with username and password
Repository logo
Unibern.ch
  1. Home
  2. Publications
  3. Sleep characteristics across the lifespan in 1.1 million people from the Netherlands, United Kingdom and United States: a systematic review and meta-analysis.
 

Sleep characteristics across the lifespan in 1.1 million people from the Netherlands, United Kingdom and United States: a systematic review and meta-analysis.

Options
  • Details
BORIS DOI
10.7892/boris.148407
Date of Publication
January 2021
Publication Type
Article
Division/Institute

Institut für Sozial- ...

Contributor
Kocevska, Desana
Lysen, Thom S
Dotinga, Aafje
Koopman-Verhoeff, M Elisabeth
Luijk, Maartje P C M
Antypa, Niki
Biermasz, Nienke R
Blokstra, Anneke
Brug, Johannes
Burk, Wiliam J
Comijs, Hannie C
Corpeleijn, Eva
Dashti, Hassan S
de Bruin, Eduard J
de Graaf, Ron
Derks, Ivonne P M
Dewald-Kaufmann, Julia F
Elders, Petra J M
Gemke, Reinoldus J B J
Grievink, Linda
Hale, Lauren
Hartman, Catharina A
Heijnen, Cobi J
Huisman, Martijn
Huss, Anke
Ikram, M Arfan
Jones, Samuel E
Velderman, Mariska Klein
Koning, Maaike
Meijer, Anne Marie
Meijer, Kim
Noordam, Raymond
Oldehinkel, Albertine J
Groeniger, Joost Oude
Penninx, Brenda W J H
Picavet, H Susan J
Pieters, Sara
Reijneveld, Sijmen A
Reitz, Ellen
Renders, Carry M
Rodenburg, Gerda
Rutters, Femke
Smith, Matt C
Singh, Amika S
Snijder, Marieke B
Stronks, Karien
Ten Have, Margreet
Twisk, Jos W R
Van de Mheen, Dike
van der Ende, Jan
van der Heijden, Kristiaan B
van der Velden, Peter G
van Lenthe, Frank J
van Litsenburg, Raphaële R L
van Oostrom, Sandra H
van Schalkwijk, Frank J
Sheehan, Connor M
Verheij, Robert A
Verhulst, Frank C
Vermeulen, Marije C M
Vermeulen, Roel C H
Verschuren, W M Monique
Vrijkotte, Tanja G M
Wijga, Alet H
Willemen, Agnes M
Ter Wolbeek, Maike
Wood, Andrew R
Xerxa, Yllza
Bramer, Wichor M
Franco Duran, Oscar Horacio
Institut für Sozial- und Präventivmedizin (ISPM)
Luik, Annemarie I
Van Someren, Eus J W
Tiemeier, Henning
Subject(s)

600 - Technology::610...

300 - Social sciences...

Series
Nature human behaviour
ISSN or ISBN (if monograph)
2397-3374
Publisher
Springer Nature
Language
English
Publisher DOI
10.1038/s41562-020-00965-x
PubMed ID
33199855
Description
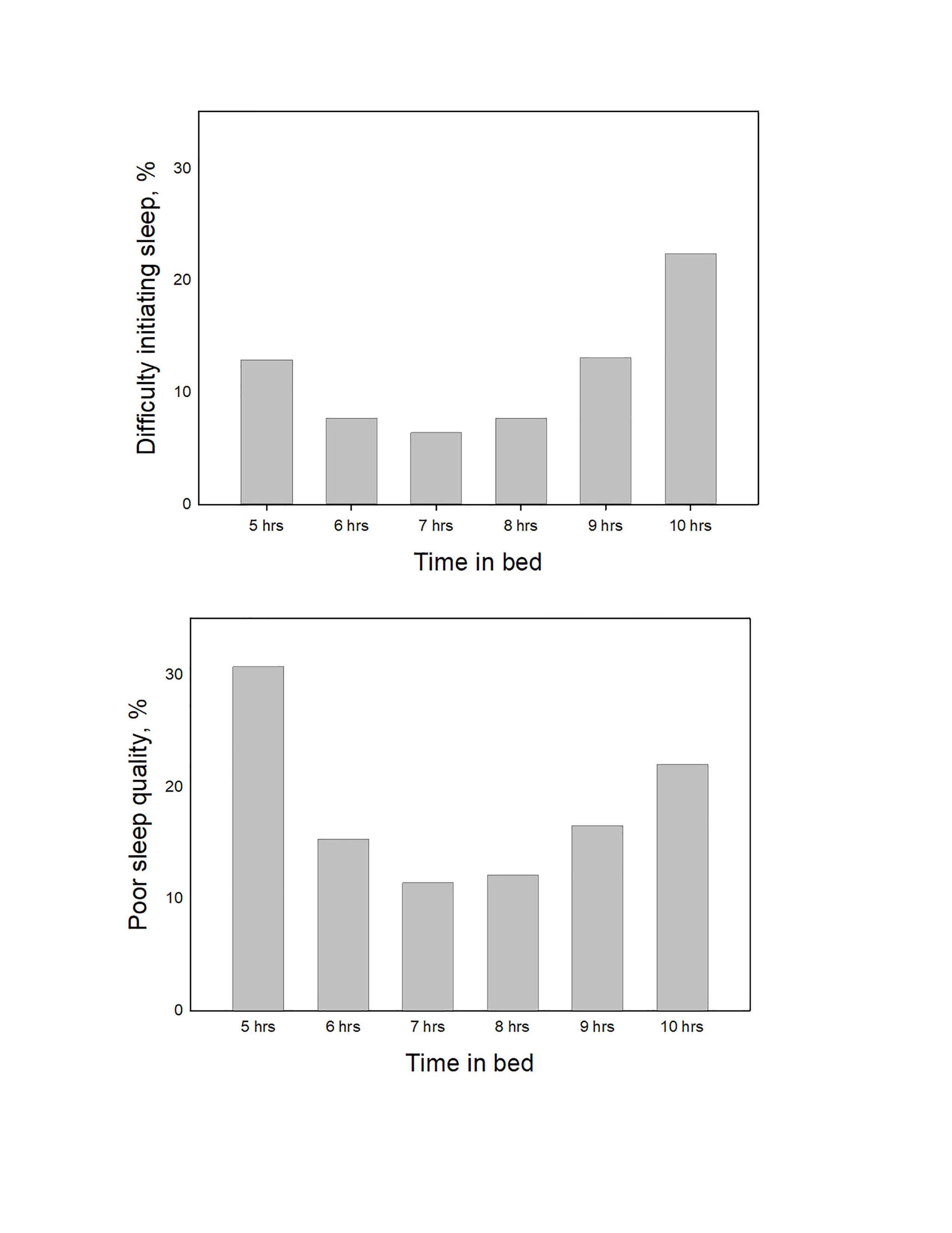
We aimed to obtain reliable reference charts for sleep duration, estimate the prevalence of sleep complaints across the lifespan and identify risk indicators of poor sleep. Studies were identified through systematic literature search in Embase, Medline and Web of Science (9 August 2019) and through personal contacts. Eligible studies had to be published between 2000 and 2017 with data on sleep assessed with questionnaires including ≥100 participants from the general population. We assembled individual participant data from 200,358 people (aged 1-100 years, 55% female) from 36 studies from the Netherlands, 471,759 people (40-69 years, 55.5% female) from the United Kingdom and 409,617 people (≥18 years, 55.8% female) from the United States. One in four people slept less than age-specific recommendations, but only 5.8% slept outside of the 'acceptable' sleep duration. Among teenagers, 51.5% reported total sleep times (TST) of less than the recommended 8-10 h and 18% report daytime sleepiness. In adults (≥18 years), poor sleep quality (13.3%) and insomnia symptoms (9.6-19.4%) were more prevalent than short sleep duration (6.5% with TST < 6 h). Insomnia symptoms were most frequent in people spending ≥9 h in bed, whereas poor sleep quality was more frequent in those spending <6 h in bed. TST was similar across countries, but insomnia symptoms were 1.5-2.9 times higher in the United States. Women (≥41 years) reported sleeping shorter times or slightly less efficiently than men, whereas with actigraphy they were estimated to sleep longer and more efficiently than man. This study provides age- and sex-specific population reference charts for sleep duration and efficiency which can help guide personalized advice on sleep length and preventive practices.
Handle
https://boris-portal.unibe.ch/handle/20.500.12422/38081
Show full item
File(s)
FileFile TypeFormatSizeLicensePublisher/Copright statementContent
Kocevska_NatHumBehav_2020_Fig_4.jpgJPEG204.4 KBAttribution (CC BY 4.0)supplementalOpen
Kocevska_NatHumBehav_2021.pdfAdobe PDF1.82 MBpublisherpublished restricted
Kocevska_NatHumBehav_2020_Fig_3.jpgJPEG349.9 KBAttribution (CC BY 4.0)supplementalOpen
Kocevska_NatHumBehav_2020_Fig_2.jpgJPEG1.51 MBAttribution (CC BY 4.0)supplementalOpen
Kocevska_NatHumBehav_2020_Suppl_material.pdfAdobe PDF3.34 MBAttribution (CC BY 4.0)acceptedOpen
  View More
BORIS Portal
Bern Open Repository and Information System
Build: 396f6f [24.09. 11:22]
Explore
  • Projects
  • Funding
  • Publications
  • Research Data
  • Organizations
  • Researchers
More
  • About BORIS Portal
  • Send Feedback
  • Cookie settings
  • Service Policy
Follow us on
  • Mastodon
  • YouTube
  • LinkedIn
UniBe logo